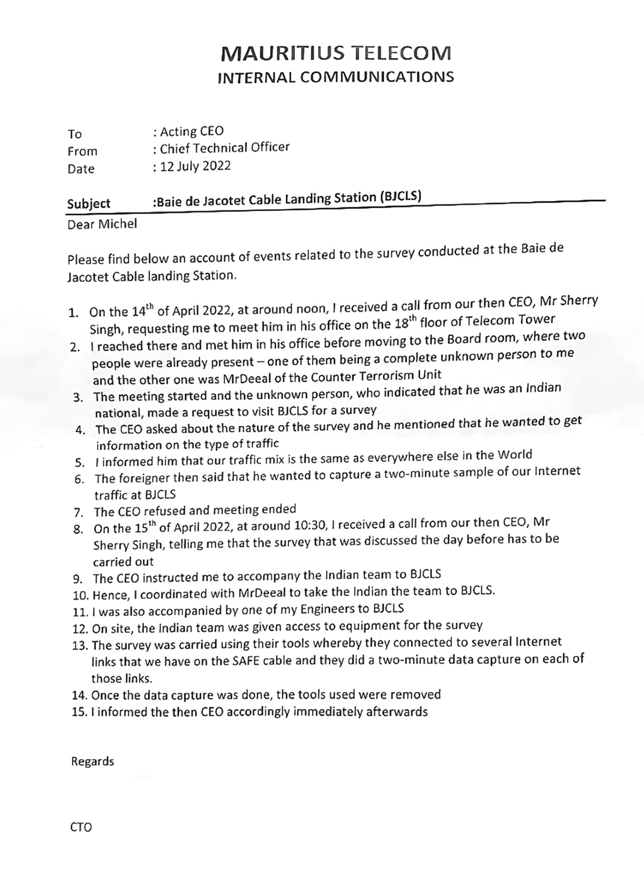
Dans un rapport soumis le 12 juillet dernier à Michel Degland, Chief Executive Officer par intérim de Mauritius Telecom, Girish Guddoy, qui a démissionné de son poste de Chief Technical Officer de cette compagnie mardi, le 19 juillet, soutient que l’équipe technique indienne s’est connectée au réseau de la Landing Station de Baie-du-Jacotet et aurait fait du « data capture ».
Y a-t-il contradiction entre les différentes versions ? Alors que le Premier ministre, Pravind Jugnauth, a maintenu « qu’aucun équipement n’a été installé à la Landing Station de Baie-du-Jacotet pour faire du ‘sniffing’ ou pour intercepter du trafic Internet », (Ndlr, Réponse à la PNQ de mardi dernier au Parlement), la version de Girish Guddoy, Chief Technical Officer (CTO) démissionnaire de Mauritius Telecom *MT), semble donner une autre interprétation.
Dans un rapport envoyé le 12 juillet dernier à 17 h 52 à Michel Degland, Chief Executive Officer (CEO) suppléant de MT, et à Velamah Cathapermal-Nair, Chief Legal & Regulatory Officer de MT, Girish Guddoy écrit que l’équipe d’experts techniques, envoyée par l’Inde, s’est connectée au réseau et a pris des données. Pour y parvenir, ils ont, selon lui, utilisé leurs propres équipements.
« Deux minutes sur chacun de ces liens »
« Le survey a été fait en utilisant leurs outils avec lesquels ils se sont connectés à différents liens Internet que nous avons sur le câble SAFE et ils ont fait un data capture de deux minutes sur chacun de ces liens », écrit-il dans son rapport. Et il précisé : « une fois le data capture terminé, les outils utilisés ont été enlevés ».
Dans son rapport, le CTO relate que « le 14 avril 2022, vers midi, j’ai reçu un appel de notre CEO d’alors, Mr Sherry Singh, qui m’a demandé de le rencontrer dans son bureau au 18e étage de la Telecom Tower. Je m’y suis rendu et je l’ai rencontré dans son bureau avant de bouger vers la salle du conseil (Board Room), où deux personnes étaient présentes. L’une d’elle est une personne complètement inconnue pour moi et la seconde était Mr Deeal de la Counter Terrorism Unit ».
Cette deuxième personne est Lilram Deeal, officier en charge de ce département qui est sous la responsabilité du Bureau du Premier ministre.
Refus et fin de réunion
Girish Guddoy explique dans son rapport que l’accompagnateur de Lilram Deeal « a indiqué qu’il est Indien et a fait une demande pour visiter la Landing Station de Baie-du-Jacotet afin de faire un survey ». Cette station d’atterrissement est l’endroit où aboutit le câble optique sous-marin SAFE. La majeure partie du trafic Internet de Maurice passe par ce câble pour aller à l’international.
Dans son rapport, l’ex-CTO avance que « Le CEO a demandé la nature du survey et il a mentionné qu’il voulait avoir des informations sur le genre de trafic. Je lui ai répondu que notre mixe de trafic est le même que partout ailleurs dans le monde. L’étranger a alors dit qu’il voulait capturer un échantillon de deux minutes de notre trafic Internet à la Landing Station de Baie-du-Jacotet. Le CEO a refusé et la réunion a pris fin ».
Dans son rapport, Girish Guddoy indique alors que le 15 avril vers 10h30, Sherry Singh lui téléphone pour lui dire que « le survey dont il a été discuté la veille doit être effectué. Le CEO m’a donné comme instruction d’accompagner l’équipe indienne ».
Pour rappel, l’ex-CEO de MT a reçu un appel du Premier ministre durant la matinée du 15 avril. C’est d’ailleurs ce que Pravind Jugnauth affirme en réponse à une question parlementaire qui lui est posée par les députés travaillistes Ehsan Juman et Patrick Assirvaden le 12 juillet dernier. Le chef du gouvernement déclare que « durant la matinée du 15 avril 2022, j’ai été informé que Mauritius Telecom n’a pas fait les arrangements nécessaires pour que l’équipe ait accès au Landing Station de Baie-du-Jacotet pour le survey. J’ai donc appelé le CEO et lui ai demandé de faire les arrangements pour que le survey soit effectué. Il a finalement été d’accord pour permettre à l’équipe d’avoir accès. Le même jour, le CEO a demandé au CTO de Mauritius Telecom d’accompagner la délégation à Baie-du-Jacotet pour le survey sur place ». Les versions de Pravind Jugnauth et Girish Guddoy corroborent sur ce point.
La visite
Girish Guddoy, dans son rapport envoyé le 12 juillet dernier à l’Acting CEO de MT, a précisé qu’il a coordonné avec Lilram Deeal pour amener à Baie-du-Jacotet l’équipe d’experts envoyée par l’Inde suite à une demande formulée par le Premier ministre mauricien auprès de son homologue indien, Narendra Modi. Girish Guddoy précise avoir été accompagné d’un autre ingénieur de MT. Il ne révèle pas son identité.
Sur place, comme convenu, l’équipe indienne a eu accès à l’équipement pour effectuer le survey. L’ex-CTO ne dira cependant pas combien de temps l’exercice a pris. Dans ses déclarations à la presse, Sherry Singh a soutenu que la durée était d’environ six heures.
Une question qui se pose est de savoir si l’ex-CTO se contredit par rapport à une lettre qu’il a adressée à Nayen Koomar Ballah, alors président de MT - il a démissionné de cette fonction le mercredi 20 juillet dernier. Dans cette correspondance, Girish Guddoy affirme que « nous avons tous quitté l’endroit après le survey vers 19h15 sans qu’aucun équipement pour faire du sniffing ou autre n’y a été installé. En tant que CTO de MT, je suis au courant d’aucun projet d’installation d’outil de sniffing quel qu’il soit » à la Landing Station de Baie-du-Jacotet. Dans son rapport du 12 juillet, il a toutefois précisé qu’un outil a été branché au réseau, mais a été par la suite enlevé.
Il revient que le Central Criminal Investigation Department (CCID), qui enquête sur toute cette affaire suite à une déposition faite par le Premier ministre le 11 juillet dernier, compte interroger prochainement Girish Guddoy pour voir plus claire sur toute cette question.
Notre service WhatsApp. Vous êtes témoins d`un événement d`actualité ou d`une scène insolite? Envoyez-nous vos photos ou vidéos sur le 5 259 82 00 !

