Les amendements apportés à l’Information and Communication Technologies (ICT) Act font l'objet d'une première contestation devant la justice. L'ancien Attorney General, Yatin Varma, conteste la constitutionnalité de la Judicial and Legal Provision Act. Il a déposé une plainte devant la Cour suprême ce jeudi matin 15 novembre.
Ces amendements ont été apportés après le vote au Parlement du Judicial and Legal Provisions Bill le 31 octobre dernier. De nombreux internautes se disent inquiets par ces amendements car, selon la nouvelle loi, toute personne qui publie un message ou toute publication sur la Toile «which is likely to cause or cause annoyance, humiliation, inconvenience, distress or anxiety to any person» risque de faire l'objet de poursuites et encourt une peine maximale de dix ans de prison.
Le gouvernement n'est pas de cet avis. Il affirme que ces amendements visent à responsabiliser les internautes.
L’opposition évoque, pour sa part, une atteinte à la liberté d’expression.
Dans sa plainte, Yatin Varma, qui est aussi membre du PTr, est d'avis que les amendements sont en contradiction totale avec l'article 12 de la Constitution, qui garantit la liberté d’expression de tout citoyen.
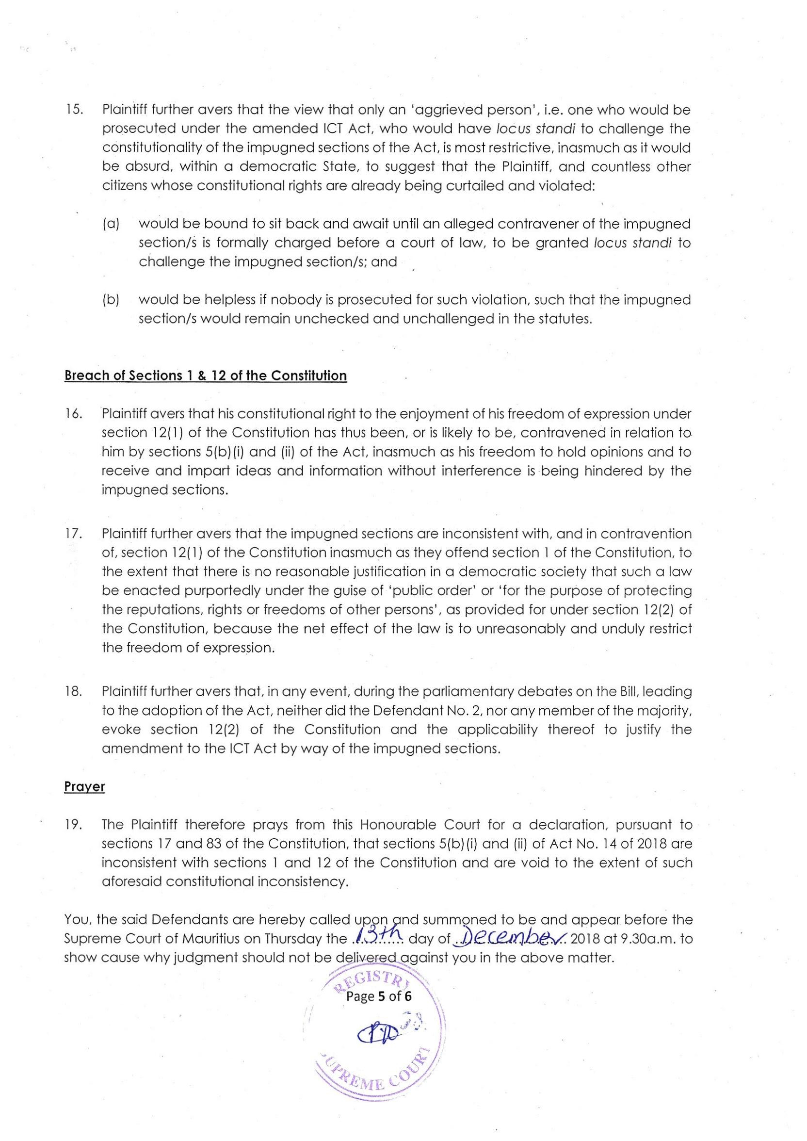
La justice devra donner son avis sur la légalité de l’article 46 de l’ICT Act. L’affaire sera appelée en Cour suprême le 13 décembre prochain.
Yatin Varma est représenté Me Shakeel Mohamed, qui est aussi le chef de file du PTr à l'Assemblée nationale, et l’avoué Ayesha Jeewah.
Ci-dessous la plainte de Yatin Varma :





Notre service WhatsApp. Vous êtes témoins d`un événement d`actualité ou d`une scène insolite? Envoyez-nous vos photos ou vidéos sur le 5 259 82 00 !

